News
From The Island School … ’tis Bubble Day!
November 4, 2022
By Donna Catanzarite
Fifth-grade students at The Island School have been busy investigating physical science. Through a variety of hands-on a…
IN THE SPOTLIGHT: Let’s talk about croquet with Hans for a minute …
November 4, 2022
Almost everyone has a memory of playing croquet as a child, probably in their grandmother’s yard. Hans Peterson thinks it is time to make some new memories, this time on the Boca Grande Community Ce…
THIS WEEK IN THE BOCA BEACON
November 3, 2022
Boca Beacon backpages
FIVE YEARS AGO
Final Hurricane Irma debris pickups were complete as anglers were busy tying flies and getting ready for the GIFT tournament.
TEN YEARS AGO
A manatee…
Company is coming on Saturday: Welcome to our disaster area!
October 28, 2022
We’ve got power and internet outages, a cell phone tower lodged in our bakery, piles of debris clogging our side streets and more piles along the main road, beach accesses that are closed and a plet…
South Beach is coming back! And if all goes well it could be soon, too
October 28, 2022
Bart DeStefano and Marco Meola, owners of South Beach Bar & Grille, have announced they will be coming back bigger and better than ever, maybe even in the next couple of months.
Of course, th…
Tips to voting in next week’s election
October 28, 2022
Hurricane Ian has not been able to stop our democratic processes, but it has blown them around somewhat. Since a number of polling places have been damaged or destroyed, registered voters in Lee and…
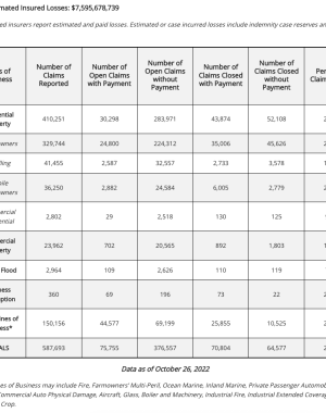
Feeling frustrated and confused about your insurance? Knowing the basics before hiring contractors is vital
October 28, 2022
There are so many questions that deserve solid answers when it comes to insurance claims regarding Hurricane Ian. If you have never had to file a claim before it can be a daunting process, and while…










