News
Tips to voting in next week’s election
October 28, 2022
Hurricane Ian has not been able to stop our democratic processes, but it has blown them around somewhat. Since a number of polling places have been damaged or destroyed, registered voters in Lee and…
Feeling frustrated and confused about your insurance? Knowing the basics before hiring contractors is vital
October 28, 2022
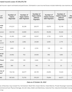
There are so many questions that deserve solid answers when it comes to insurance claims regarding Hurricane Ian. If you have never had to file a claim before it can be a daunting process, and while…
Financial assistance for a fresh start given by Disaster Relief Fund
October 28, 2022
The Boca Grande Disaster Relief Fund handed out its first 23 checks to help businesses and organizations in Boca Grande recover from Hurricane Ian. The amount of the grants is not public information…
Cayo Costa: An update from ground zero
October 28, 2022
SUBMITTED BY CAYO COSTA PARK RANGERS
As many of you know, Cayo Costa State Park is where Hurricane Ian made its initial landfall. The damage to the park was catastrophic. Along with so many in ou…
Hidden dangers in the water could affect swimmers and boaters – let logic prevail
October 28, 2022
As many of you know, Cayo Costa State Park is where Hurricane Ian made its initial landfall. The damage to the park was catastrophic. Along with so many in our local community, several of the park s…
If you lost a dock, a boathouse or structure on the water, read this
October 28, 2022
As home and business repairs are getting underway in the wake of Hurricane Ian, it is important to remember that docks, boathouses, and other shoreline structures require building permits for constr…
IN THE SPOTLIGHT: BOCA GRANDE NORTH AND THE CHALLENGES IT FACES AFTER IAN
October 28, 2022
Being the president of your homeowners’ association can be a rewarding position, but it can also be a demanding one. Following Hurricane Ian, Ken Burnette, president of the Boca Grande North Condo A…
From the office of the Boca Grande Historical Society
October 28, 2022
Thank you all for your patience as we deal with the aftermath of Hurricane Ian. I am happy to report that the History Center and all of our historic treasures are safe and did not acquire any storm…











